CEマーキング製品具体化コース
CEマーキング適合製品を設計・製造するためには、CEマーキング制度、関連指令、規格についてより深く正確に理解し、
各文書に的確に表現するスキル、ならびに
各文書をリクエストし、適切に確認し、収集するスキル
が必要です。
日常から適切に文書を作成されていれば、CEマーキングの技術文書は ” 編纂:compile ” するだけです。
図面、リスト、その他必要な文書についての意図目的を共有し、第三者が理解できる文書構成、文書どうしの整合性についてサポートします。
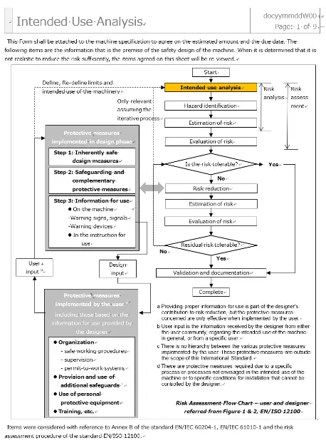
設計の基本スキル
ここでいう各文書とは、次のようなものです。
- 設計にインプットされ、設計に利用し、最終的に技術文書に添付するべき文書
使用上の制限事項、要求仕様書、部品・コンポーネントの仕様書・取扱説明書、等々
- 設計がアウトプットし、次工程で使用され、最終的に技術文書に添付するべき文書
リスクアセスメントシート、各種図面、設計計算書、部品の発注仕様書、部品手配リスト、部品構成リスト、組立・調整・検査指示書、取扱説明書、適合評価試験レポート、技術文書のサマリー、等
これらの各文書は、”指令に適合する設計意図” が反映され、調達・製造する担当者が誤解することなく利用して業務を遂行でき、また、ユーザーが誤解することなく正しく製品を用いることができるように作成されなければなりません。
そして、そのように適切に作成されていることが、技術文書の添付文書として提示され、指令に適合していることを裏付ける、そのように作成されるべきです。(上述の例に挙げた文書類を機械的に技術文書に添付するのではありません。)
例1:装置が転倒しないことを提示するためには(転倒しない設計をするためには)、設計計算書と、これに添付するべき構造図、想定する外力とその位置・方向、脚まわりの耐荷重等が必要です。必要に応じて、キャスター/レベラーのメーカー、型番、耐荷重などが部品構成リストに記載され、それらの仕様書も添付します。
例2:操作部に感電のリスクが無いことを提示するためには、操作部に使用されている電源が判別できる電気図面、その電源が絶縁を保証していることが判別できるその電源の安全認証書のコピー、その電源のメーカー型式・定格、安全認証書番号が記載された部品構成リスト、その電源系統が他の高電圧系統に近接しておらず、また、その電源系統の各構成部品が定格仕様を逸脱せず、使用上の注意を守って使用されていることを実施検証したレポート、必要に応じて、絶縁距離測定結果、耐電圧試験結果を含めます。(なんとなく設計して耐電圧試験に合格すればOKではありません。)
時系列ではーその1:まずは受注に向かって
まず、顧客の要求仕様書を精査し、使用上の制限事項を仮定し、リスクアセスメントを開始します。関連するリスクを整理しつつ、不明情報は顧客に問い合わせ、使用上の制限事項について条件出しを行います。

使用上の制限事項を確定しつつ、リスクアセスメントの完成度を高め、リスク低減方策を仮定し、必要な検証試験の費用も含めて、見積もり作業を開始します。
(すべてのコストが製品の直接コストとして帰着するものではなく、そのような見積をすると、製品価格は跳ね上がり、失注する可能性があります。)
その他様々な条件も加味して、見積・納期が合意され、受注します。
(カスタムメイドではない場合、使用上の制限事項を想定し、リスク低減方策を定めて、販売価格を決定します。)
時系列ではーその2:具体化展開
本格的な具体化作業に着手します。
まず初めに、適合宣言書のドラフト、および技術文書サマリーのドラフト版を作成します。これは一つの到達地点を示すものです。
リスクアセスメント、適合宣言書ドラフト、技術文書サマリーのドラフト版、そして規格(=適合が推定される技術仕様)をベースに、各種図面、部品構成リスト、部品発注仕様書、部品手配リスト、各種作業指示書、等々展開していきます。
部品・コンポーネントは、その定格、使用上の注意、安全認証書の有無など確認し、全体との整合を確認します。
必要に応じて、リスク判定のための事前試験、予備試験などを計画し実施します。
適宜見直しをかけながら、リスクアセスメントの完成度を高めつつ、評価試験計画を準備、必要なものは手配します。
毎回同じ部品、同じ部品の組み合わせは、その部分の標準化を定義し、検証済のユニットとして、次回からの手間を省き、在庫を合理化することを考慮に入れます。
具体的なサポートアイテム
番号
サポートアイテム例
1
使用上の制限事項の決定
2
リスクアセスメント
3
構成ブロック図
4
製品ファミリーモデルの星取表
5
外観図
6
銘板図
7
電気図面
8
仕様書
9
取扱説明書
10
構造データファイル(重要部品リスト)
11
部品発注仕様書
12
部品加工図
13
定型ユニット化
14
設計計算書
15
予備試験
16
組立指示書
17
受入検査指示書
18
出荷検査指示書
19
梱包指示書
20
テストプラン
- サポートアイテムは一例であり、この限りではありません。ご要望に応じて柔軟に対応します。
- あくまでコンサルティングであり、業務代行するものではありません。
お申込み
お申し込みは以下のリンクよりお願いいたします。
お気軽にご連絡ください。
2020-11-11
ウイザード形式で当社のサービスを案内します。
選択肢を順番に選択することにより、簡単に見積もりのお申込みが可能です。
適合宣言の範疇、製品仕様、Intended use analysis、リスクアセスメントの最初のステップです。
指令の必須要求事項と製品に内在するリスクを照査します。
評価・試験を効率よく進めるためには、適切な計画の下で予め必要な物を揃え、必要な事項を決定します。
CEマーキングでよく実施される評価・試験を迅速に、低価格で実施します。
技術文書ドラフト版(英語)を作成します。(ワードファイル)
適合宣言書ドラフト版(英語)を作成します。(ワードファイル)
こんなサービスできないかーお気軽にご相談ください。
CEマーキングリーダー育成、文書作成指導、社内標準化など。
各種テンプレート・フォームと技術解説資料
お気軽にお問い合わせください。
どうぞお気軽にお問合せ下さい
メールでお問い合わせ
フォームでお問い合わせ
ホームページ、記事に対するご感想、リクエスト










